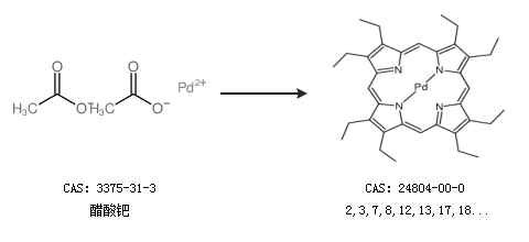
基本信息:
中文名稱 2,3,7,8,12,13,17,18-八乙基-21H,23H-卟吩鈀(II)
英文名稱 (octaethylporphyrinato)palladium(II)
英文別名 palladium-2,3,7,8,12,13,17,18-octaethyl-21H,23H-porphyrin;
CAS號(hào) 24804-00-0
合成路線:
1.通過醋酸鈀合成2,3,7,8,12,13,17,18-八乙基-21H,23H-卟吩鈀(II)

中華試劑網(wǎng)提醒:合成路線僅供參考