基本信息:
中文名稱 3B-羥基-D5-膽烯酸
中文別名 3β-羥基-D5-膽烯酸;3β-羥基-Δ5-膽烯酸;3β-羥基-5-膽稀酸;
英文名稱 3BETA-HYDROXY-DELTA5-CHOLENIC ACID
英文別名 Cholenic acid;5-CHOLENIC ACID-3BETA-OL;3b-Hydroxy-5-cholenoic acid;3β-Hydroxy-DELTA5-cholenic Acid;5-cholenic acid-3B-ol;
CAS號 5255-17-4
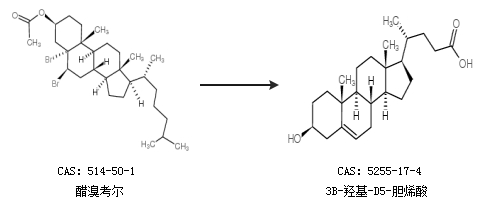
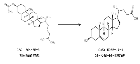
合成路線:
1.通過醋溴考爾合成3B-羥基-D5-膽烯酸

2.通過膽固醇醋酸酯合成3B-羥基-D5-膽烯酸

合成路線僅供參考