基本信息:
中文名稱 潑尼松
中文別名 1,4-Pregnadiene-17α,21-diol-3,11,20-trione;強的松;強的松,去氫可的松;
英文名稱 prednisone
英文別名 Cortan;deltae;Cotone;Wojtab;In-Sone;MOPP;u6020;deltacortisone;Prednisone;Deltra;17,21-Dihydroxypregna-1,4-diene-3,11,20-trione;
CAS號 53-03-2
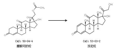
合成路線:
1.通過可的松合成潑尼松

2.通過醋酸可的松合成潑尼松

合成路線僅供參考