基本信息:
中文名稱 6α-甲基潑尼松龍
中文別名 11β,17α,21-Trihydroxy-6α-methyl-1,4-pregnadiene-3,20-dione;甲基潑尼松龍;11β,17α,21-三羥基-6α-甲基-1,4-孕甾二烯-3,20-二酮;甲基強(qiáng)的松龍;甲基氫化潑尼松;6α-甲基-11β,17α,21-三羥基-1,4-孕甾二烯-3,20-二酮;
英文名稱 6α-methylprednisolone
英文別名 6alpha-methylprednisolone;(6S,8S,9S,10R,11S,13S,14S,17R)-11,17-dihydroxy-17-(2-hydroxyacetyl)-6,10,13-trimethyl-7,8,9,11,12,14,15,16-octahydro-6H-cyclopenta[a]phenanthren-3-one;Methylprednisolone;
CAS號(hào) 83-43-2
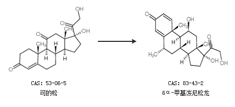
合成路線:
1.通過可的松合成6α-甲基潑尼松龍

2.通過甲基潑尼松龍琥珀酸酯合成6α-甲基潑尼松龍

合成路線僅供參考