基本信息:
中文名稱 2,4-二氯-6-溴喹唑啉
中文別名 6-溴-2,4-二氯喹唑啉;
英文名稱 6-Bromo-2,4-dichloroquinazoline
英文別名 6-BROMO-2,4-DICHLOROQUINAZOLINE;
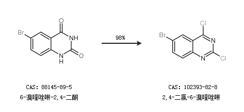
CAS號(hào) 102393-82-8
合成路線:
1.通過(guò)6-溴喹唑啉-2,4-二酮合成2,4-二氯-6-溴喹唑啉,收率約98%;

2.通過(guò)二(三氯甲基)碳酸酯和2-氨基-5-溴苯甲腈合成2,4-二氯-6-溴喹唑啉,收率約93%;

合成路線僅供參考