基本信息:
中文名稱 2-氨基-5-氯吡嗪
中文別名 5-氯-2-氨基吡嗪;5-氯吡嗪-2-胺;
英文名稱 5-chloropyrazin-2-amine
英文別名 2-amino-5-chloropyrazine;2-Amino-5-chloropyrazine;5-Chloro-pyrazin-2-ylamine;pyrazinamine,5-chloro;5-amino-2-chloro-pyrazine;5-chloro-2-aminopyrazine;
CAS號 33332-29-5
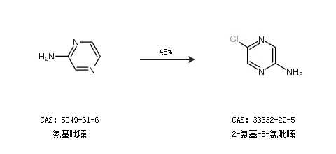
合成路線:
1.通過氨基吡嗪合成2-氨基-5-氯吡嗪,收率約45%;

2.通過3-氨基-6-氯吡嗪-2-甲酸甲酯合成2-氨基-5-氯吡嗪

合成路線僅供參考