基本信息:
中文名稱 常春藤皂苷元
中文別名 常春藤皂甙元;(3beta,4alpha)-3,23-二羥基齊墩果-12-烯-28-酸;常春藤皂甙元;
英文名稱 (4aS,6aR,6aS,6bR,8aR,9R,10S,12aR,14bS)-10-hydroxy-9-(hydroxymethyl)-2,2,6a,6b,9,12a-hexamethyl-1,3,4,5,6,6a,7,8,8a,10,11,12,13,14b-tetradecahydropicene-4a-carboxylic acid
英文別名 Astrantiagenin E;23-hydroxyoleanolic acid;Hederagenic acid;(3beta,4alpha)-3,23-Dihydroxyolean-12-en-28-oic acid;hederagenin;Hederagenin;3,23-Dihydroxyolean-12-en-28-acid;3,23-dihydroxyolean-12-en-28-oic acid;Caulosapogenin;EINECS 207-369-9;Hederagenol;
CAS號 465-99-6
合成路線:
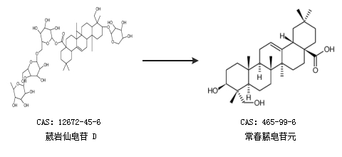
1.通過葳巖仙皂苷 D合成常春藤皂苷元

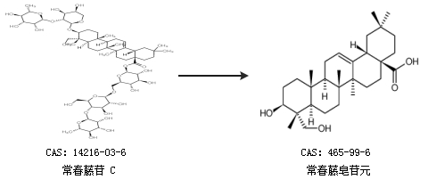
2.通過常春藤苷 C合成常春藤皂苷元

合成路線僅供參考