基本信息:
中文名稱 異綠原酸B
中文別名 3,4-二咖啡??鼘幩?
英文名稱 (1S,3R,4R,5R)-3,4-Bis[[(E)-3-(3,4-dihydroxyphenyl)prop-2-enoyl]oxy]-1,5-dihydroxycyclohexane-1-carboxylic acid
英文別名 IsochlorogenicacidB;ISOCHLOROGENIC ACID B(RG);3,4-Dicaffeoylquinic acid;(1S,3R,4R,5R)-3,4-bis{[(2E)-3-(3,4-dihydroxyphenyl)-1-oxoprop-2-en-1-yl]oxy}-1,5-dihydroxycyclohexanecarboxylic acid;Isochlorogenic acid B(3,4'');4,5-di-O-caffeoylquinic acid;4,5-di-O-trans-caffeoyl-D-quinic acid;4,5-di-O-trans-caffeoylquininc acid;Quinic acid 3,4-di-O-caffeate;3,4-Di-O-caffeoylquinic acid;
CAS號 14534-61-3
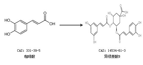
合成路線:
1.通過咖啡酸合成異綠原酸B

2.通過咖啡酸合成異綠原酸B

合成路線僅供參考