基本信息:
中文名稱 牛蒡子苷元
中文別名 牛蒡苷元;
英文名稱 (-)-Arctigenin
英文別名 (-)-arctigenine;(2S)-2-[(2S,12bS)-1,2,3,4,6,7,12,12b-octahydroindolo[2,3-a]quinolizin-2-yl]but-3-en-1-ol;(3R,4R)-4-(3,4-dimethoxybenzyl)-3-(4-hydroxy-3-methoxybenzyl)dihydrofuran-2(3H)-one;(-)-antirhine;Arctigenin;2-(1,2,3,4,6,7,12,12b-octahydro-indolo[2,3-a]quinolizin-2-yl)-but-3-en-1-ol;
CAS號(hào) 7770-78-7
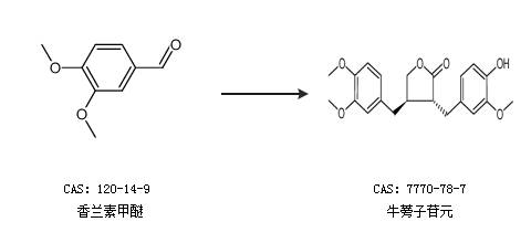
合成路線:
1.通過香蘭素甲醚合成牛蒡子苷元

中華試劑網(wǎng)提醒:合成路線僅供參考