基本信息:
中文名稱 三乙酰丙酮鋁
中文別名 乙酰丙酮鋁;2,6-乙酰丙酮鋁(III);三(2,4-戊二酮)鋁(III);乙酰丙酮化鋁(III)鹽;乙酰丙酮化鋁(III);
英文名稱 Aluminum acetylacetonate
英文別名 ALUMINUM(III) AA;Alumin;Acetylacetone Aluminum(III) Salt;aluminum(III) trisacetylacetonate;Dotite Al;Al(acac)3,Aluminum 2,4-pentanedionate;Nacem Aluminum;tris-pentane-2,4-dionato aluminium;Aluminium acetylacetonate;Aluminum triacetylacetone;AL(ACAC)3;Aluminum 2,4-pentanedionate;Aluminum Acetylacetonate;ACETYLACETONE ALUMINIUM;aluminium acetylacetonate;Aluminum acetoacetonate;Tris(2,4-pentanedionato)aluminum(III);Aluminum Chelate A;aluminum acetyl acetonate;Alumium acety acetonate;Aluminum(III) acetylacetonate;aluminium tris(acetylacetonate);
CAS號(hào) 13963-57-0
合成路線:
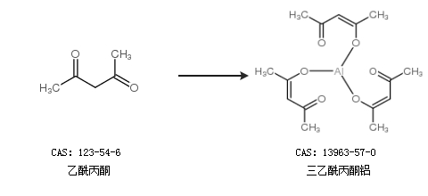
1.通過(guò)乙酰丙酮合成三乙酰丙酮鋁,收率約93%;

2.通過(guò)乙酰丙酮合成三乙酰丙酮鋁

合成路線僅供參考