基本信息:
中文名稱 雙三苯基磷二氯化鈀
中文別名 雙(三苯基膦)合氯化鈀;二(三苯基膦)二氯化鈀;二氯化雙(三苯基膦)鈀(II);反-二(三苯基膦)二氯化鈀(II);反-二氯化雙(三苯基膦基)鈀(Ⅱ);二(三苯基膦)二氯化鈀(II);雙三苯基;二(三苯基膦)氯化鈀;雙(三苯基膦)二氯化鈀(II);
英文名稱 Bis(triphenylphosphine)palladium(II) chloride
英文別名 Palladium(II)bis(triphenylphosphine) dichloride;Bis(triphenylphosphine)palladium(II) Dichloride;(Ph3P)2Pd(II)Cl2;BIS(TRIPHENYLPHOSPHINE)PALLADIUM(II) DI&[(C6H5)3P]2PdCl2;Pd2Cl2(PPh3)2;PdCl2(PPh3)2;trans-Pd(PPh3)2Cl2;Bis(triphenylphosphine)pa...;trans-Dichlorobis(triphenylphosphine)platinum(Ⅱ);Dichlorobis(triphenylphosphine)palladium(II);Palladium(II)bis(triphenylphosphine);trans-dichlorobis(triphenylphosphine)palladium (II);BIS(TRIPHENYLPHOSPHINE)PALLADIUM CHLORIDE;Pd(PPh3)2Cl2;bis-triphenylphosphine-palladium(II) chloride;TRIPHENYLPHOSPHINE PALLADIUM CHLORIDE;Bis(triphenylphosphine)palladium Chloride;DICHLOROBIS(TRIPHENYLPHOSPHINE)PALLADIUM;BIS(TRIPHENYLPHOSPHINE)PALLADIUM(II);
CAS號 13965-03-2
合成路線:
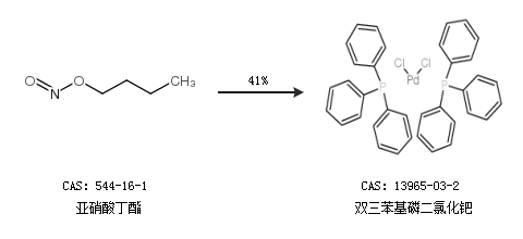
1.通過亞硝酸丁酯合成雙三苯基磷二氯化鈀,收率約41%;

2.通過二氯二氨鈀和三苯基膦合成雙三苯基磷二氯化鈀

合成路線僅供參考