基本信息:
中文名稱 乳酸鈉
中文別名 α-羥基丙酸鈉;
英文名稱 Sodium lactate
英文別名 L-SODIUM LACTATE;dl-lactic acid sodium;Natriumlactat;L-LACTIC ACID NA-SALT;sodium 1-lactate;sodium L-lactate;solutionbyweight;sodium DL-lactate;DL-sodium lactate;
CAS號(hào) 312-85-6
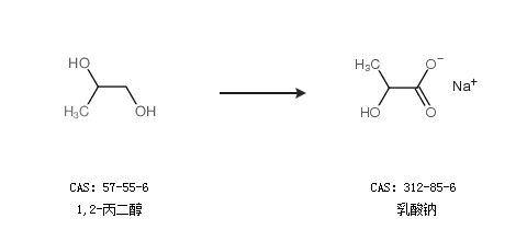
合成路線:
1.通過哌啶和丙酮酸鈉合成乳酸鈉

2.通過1,2-丙二醇合成乳酸鈉

中華試劑網(wǎng)提醒:合成路線僅供參考