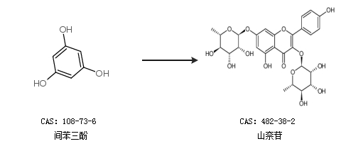
基本信息:
中文名稱 山奈苷
中文別名 山奈酚-3,7-O-L-二鼠李糖苷;山奈酚-3,7-二鼠李糖苷;山柰酚-3,7-二-O-鼠李糖苷;山柰苷;
英文名稱 kaempferol 3-O-α-L-rhamnopyranosyl-7-O-α-L-rhamnopyranoside
英文別名 Kaempferitrin;kaempferol 3-O-alpha-L-rhamnopyranosyl-7-O-alpha-L-rhamnopyranoside;5-hydroxy-2-(4-hydroxyphenyl)-3,7-bis[[(2S,3R,4R,5R,6S)-3,4,5-trihydroxy-6-methyloxan-2-yl]oxy]chromen-4-one;Kaempferol 3,7-L-dirhamnoside;
CAS號(hào) 482-38-2
合成路線:
1.通過(guò)間苯三酚合成山奈苷

中華試劑網(wǎng)提醒:合成路線僅供參考