基本信息:
中文名稱 雙(2-乙基丁基)鄰苯二甲酸酯
英文名稱 bis(2-ethylbutyl) benzene-1,2-dicarboxylate
英文別名 Bis-(2-ethylbutyl)-phthalat;Bis-(2-aethyl-butyl)-phthalat;1,2-benzenedicarboxylic acid,bis(2-ethylbutyl) ester;Phthalsaeure-bis-(2-aethyl-butylester);Bis(2-ethylbutyl) phthalate;Bis(2-ethyl-n-butyl) phthalate;phthalic acid bis-(2-ethyl-butyl ester);
CAS號 7299-89-0
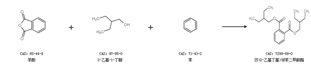
合成路線:
1.通過苯酐、2-乙基-1-丁醇和苯合成雙(2-乙基丁基)鄰苯二甲酸酯

中華試劑網(wǎng)提醒:合成路線僅供參考