基本信息:
中文名稱 雙苯磺酸甲烷
中文別名 雙(苯基砜基)甲烷;雙(苯磺?;?甲烷;二(苯磺?;?甲烷;
英文名稱 BIS(PHENYLSULFONYL)METHANE
英文別名 BIS(PHENYLSULPHONYL)METHANE;(PhSO2)2CH2;METHYLENEBIS(PHENYL SULFONE);(Methylenedisulfonyl)dibenzene;bis-phenylsulfonyl methane;Bis(benzenesulfonyl)methane;Di(phenylsulfonyl)methane;Bis(Phenylsulfonyl)Methane;Bis-(phenylsulfonyl)-methan;CH2(SO2Ph)2;bis(phenylsulfonyl)methaneyl-1,3-butadiene;
CAS號(hào) 3406-02-8
合成路線:
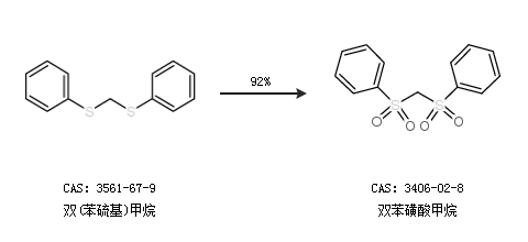
1.通過雙(苯硫基)甲烷合成雙苯磺酸甲烷,收率約92%;

2.通過5,5-二甲基-1,3-環(huán)己二酮合成雙苯磺酸甲烷

中華試劑網(wǎng)提醒:合成路線僅供參考