基本信息:
中文名稱 雙酚 S
中文別名 4-羥基苯基砜;雙酚S,4,4''-磺?;椒?4,4''-二羥基二苯砜;4,4-二羥基二苯砜;雙酚S;雙(4-羥苯基)砜;雙(4-羥基苯基)砜;4,4''-磺?;椒?
英文名稱 4,4''-sulfonyldiphenol
英文別名 4-(4-hydroxyphenyl)sulfonylphenol;4,4''-Sulfonyldiphenol;
CAS號(hào) 80-09-1
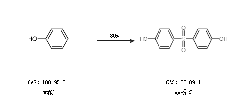
合成路線:
1.通過苯酚合成雙酚 S,收率約96%;

2.通過苯酚合成雙酚 S,收率約80%;

中華試劑網(wǎng)提醒:合成路線僅供參考