基本信息:
中文名稱 無氟肉桂酸
中文別名 五氟肉桂酸;2,3,4,5,6-五氟肉桂酸;
英文名稱 2,3,4,5,6-PENTAFLUOROCINNAMIC ACID
英文別名 Pentafluorocinnam;RARECHEM BK HW 0208;2,3,4,5,6-Pentafluorociamic acid;2,3'',4,5'',6-PENTACB UNLABELED;Pentafluorocinnamic acid;Pentafluoro-cinnaminsaeure;2,3,4,5,6-Pentafluorzimtsaeure;
CAS號 719-60-8
合成路線:
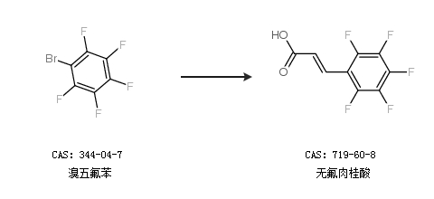
1.通過溴五氟苯合成無氟肉桂酸

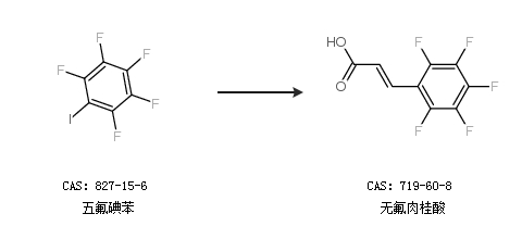
2.通過五氟碘苯合成無氟肉桂酸

中華試劑網(wǎng)提醒:合成路線僅供參考