基本信息:
中文名稱 新銅試劑
中文別名 2,9-二甲基鄰菲啰啉;新亞銅試劑;Me2一phen;2,9-二甲基-1,10-鄰菲羅啉;新亞銅試劑半水合物;2.9-二甲基-1.10-菲羅啉;2,9-二甲基-1,10-鄰菲咯啉;9-二甲基-1,10-鄰菲洛啉;雙喹哪啶;2,9-二甲基-1,10-菲啰啉;2,9-二甲基-1,10-鄰菲洛啉;
英文名稱 2,9-Dimethyl-1,10-Phenanthroline
英文別名 Neocuproine hemihydrate;2,9-Dimethyl-1,10-phenanthroline Hemihydrate;2,9-Dimethyl-1,10-phenanthroline;Neocuproine;
CAS號 484-11-7
合成路線:
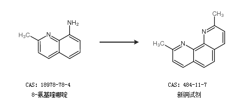
1.通過8-氨基喹哪啶、乙醛和乙烯基乙醚合成新銅試劑,收率約41%;

2.通過8-氨基喹哪啶合成新銅試劑

中華試劑網(wǎng)提醒:合成路線僅供參考