基本信息:
中文名稱 胸腺嘧啶-1-乙酸
中文別名 (5-甲基-2,4-二氧-3,4-二氫-2H-嘧啶)-乙酸;
英文名稱 2-(5-methyl-2,4-dioxopyrimidin-1-yl)acetic acid
英文別名 (5-Methyl-2,4-dioxo-3,4-dihydro-2H-pyrimidin-1-yl)acetic acid;(thymin-1-yl)acetic acid;2-(5-methyl-2,4-dioxo-1,3-dihydropyrimidinyl)acetic acid;2-(5-Methyl-2,4-dioxo-3,4-dihydropyrimidin-1(2H)-yl)acetic acid;AC1LGY5I;Thymine-1-acetic acid;2-(thymin-1yl)acetic acid;AC1Q2OEY;1-(carboxymethyl)thymine;2-(1''-thyminyl)acetic acid;
CAS號 20924-05-4
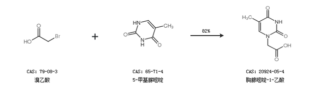
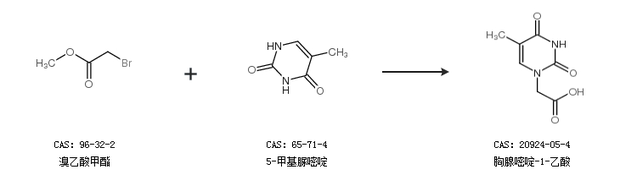
合成路線:
1.通過溴乙酸和5-甲基脲嘧啶合成胸腺嘧啶-1-乙酸,收率約82%;

2.通過溴乙酸甲酯和5-甲基脲嘧啶合成胸腺嘧啶-1-乙酸

中華試劑網(wǎng)提醒:合成路線僅供參考