基本信息:
中文名稱 氧煙酸
中文別名 氧化煙酸;N-氧化煙酸;煙酸 N-氧化物;氧鄰煙酸;煙酸氮氧化物;
英文名稱 Nicotinic acid N-oxide
英文別名 N-oxopyridine-3-carboxylic acid;Oxiniacic Acid;1-oxidopyridine-3-carboxylic acid;OXINIACIC ACID;Pyridine-3-Carboxylic Acid 1-Oxide;3-Carboxypyridine 1-oxide;Nicotinic N-oxide;pyridine-3-carboxylic acid N-oxide;3-carboxypyridine N-oxide;Nicotinic acid oxide;Nicotinic Acid N-Oxide;Oxiniacic;3-carboxypyridine 1-oxide;Nicotinic acid,1-oxide;N-oxidenicotinic acid;RARECHEM AL BO 0712;
CAS號 2398-81-4
合成路線:
1.通過喹啉酸合成氧煙酸,收率約88%;

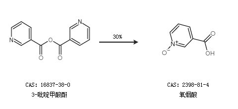
2.通過3-吡啶甲酸酐合成氧煙酸,收率約30%;

中華試劑網(wǎng)提醒:合成路線僅供參考