基本信息:
中文名稱 乙基5-(2-溴乙炔)異唑-3-羧酸酯
英文名稱 Ethyl 5-(2-bromoacetyl)isoxazole-3-carboxylate
英文別名 ethyl 5-(2-bromoacetyl)-1,2-oxazole-3-carboxylate;
CAS號 104776-74-1
合成路線:
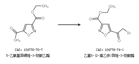
1.通過5-乙?;悋f唑-3-羧酸乙酯合成乙基5-(2-溴乙炔)異唑-3-羧酸酯,收率約85%;

2.通過5-乙?;悋f唑-3-羧酸乙酯合成乙基5-(2-溴乙炔)異唑-3-羧酸酯

中華試劑網(wǎng)提醒:合成路線僅供參考