基本信息:
中文名稱 乙酰乙酸-4-羥基苯基甲酯
英文名稱 (4-hydroxyphenyl) 3-oxobutanoate
英文別名 Acetessigsaeure-(4-hydroxy-phenylester);4-Hydroxyphenyl acetoacetate;acetoacetic acid-(4-hydroxy-phenyl ester);4-hydroxyphenyl 3-oxobutanoate;
CAS號(hào) 26408-72-0
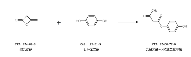
合成路線:
1.通過(guò)雙乙烯酮和1,4-苯二酚合成乙酰乙酸-4-羥基苯基甲酯

中華試劑網(wǎng)提醒:合成路線僅供參考