基本信息:
中文名稱 原花青素 B2
中文別名 原矢車菊素B2;原花青素B2;
英文名稱 procyanidin B2
英文別名 (-)epicatechin-(-)-epicatechin;Proanthocyanidin B2;4,8''-BI-[(+)-EPICATECHIN];EPICATECHIN(4B-8)EPICATECHIN;Procyanidin?B2;Procyanidol B2;PROCYANIDINDIMERB2;PROCYANIDIN B2;PROCYANIDIN B1(P);EPICATECHIN(4BETA->8)EPICATECHIN;
CAS號 29106-49-8
合成路線:
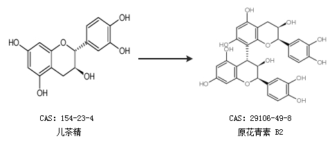
1.通過兒茶精合成原花青素 B2

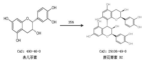
2.通過表兒茶素合成原花青素 B2,收率約35%;

中華試劑網(wǎng)提醒:合成路線僅供參考