基本信息:
中文名稱 2-(1H-吡唑-1-基)乙胺
中文別名 2-(1-吡唑基)乙胺;2-吡唑-1-基乙胺;
英文名稱 2-pyrazol-1-ylethanamine
英文別名 pyrazolyl-1-yl-ethylamine;2-Pyrazol-1-yl-ethylamine;2-Pyrazol-1-yl-aethylamin;2-pyrazolylethylamine;
CAS號(hào) 101395-71-5
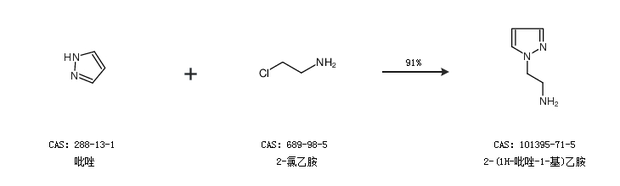
合成路線:
1.通過吡唑和2-氯乙胺合成2-(1H-吡唑-1-基)乙胺,收率約91%;

2.通過1-(2-溴乙基)-1H-吡唑合成2-(1H-吡唑-1-基)乙胺

中華試劑網(wǎng)提醒:合成路線僅供參考