基本信息:
中文名稱 L-孟基乙醛酸酯
中文別名 拉米夫定中間體L-MGH;2,2-二羥基醋酸-(1R,2S,5R)-2-異丙基-5-甲基環(huán)己酯;(1S)-(+)-孟基乙醛酸;5-甲基-2-異丙基環(huán)己醇二羥基乙酸酯;甲基乙醛酸水合物;
英文名稱 (1R,2S,5R)-5-Methyl-2-(1-methylethyl)cyclohexyl dihydroxy-acetate
英文別名 L-Menthyl glyoxylate hydrate;(1R,2S,5R)-2-Isopropyl-5-methylcyclohexyl 2,2-Dihydroxyacetate;(1R)-(-)-Menthyl glyoxylate monohydrate;L-menthyl glyoxylate;2,2-Dihydroxyacetic acid (-)-menthyl ester;(1S)-(+)-Menthyl glyoxylate monohydrate;L-MENTHYL 2,2-DIHYDROXYACETATE;(-)-menthyl glyoxylate hydrate;L)-Menthyl glyoxylate monohydrate;(1S)-(+)-Menthyl glyoxylate;(S)-(+)-MENTHYL GLYOXYLATE HYDRATE;L-Menthyl Glyoxylate Hydrate;2,2-Dihydroxyacetic Acid (1R,2S,5R)-2-Isopropyl-5-methylcyclohexyl Ester;Glyoxylic acid (1S)-menthyl ester hydrate;(-)-methyl glyoxylate;(1S)-(+)-MENTHYL GLYOXYLATE HYDRATE;(-)-Menthyl 2,2-Dihydroxyacetate;L-MGH;
CAS號 111969-64-3
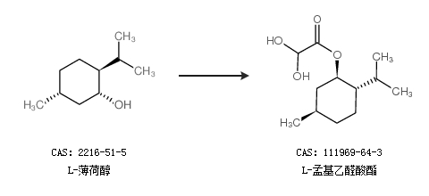
合成路線:
1.通過L-薄荷醇合成L-孟基乙醛酸酯

中華試劑網(wǎng)提醒:合成路線僅供參考