基本信息:
中文名稱 阿福豆苷
中文別名 KAEMPFEROL-3-RHAMNOSIDE;KAEMPFERIN;番瀉葉山奈苷;
英文名稱 afzelin
英文別名 Kaempferol 3-O-Alpha-L-Rhamnoside;Trihydroxy-SL0101;Kaempferin;5,7-dihydroxy-2-(4-hydroxyphenyl)-3-[(2S,3R,4R,5R,6S)-3,4,5-trihydroxy-6-methyloxan-2-yl]oxychromen-4-one;Afzelin;Kaempferol 3-rhamnoside;
CAS號 482-39-3
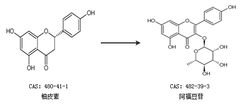
合成路線:
1.通過2-乙酰基呋喃合成阿福豆苷

2.通過柚皮素合成阿福豆苷

中華試劑網(wǎng)提醒:合成路線僅供參考