基本信息:
中文名稱 1-(2-氯-4-(4,4,5,5-四甲基-1,3,2-二噁硼烷-2-基)苯基)乙醇
英文名稱 1-[2-chloro-4-(4,4,5,5-tetramethyl-1,3,2-dioxaborolan-2-yl)phenyl]ethanol
英文別名 Benzenemethanol,2-chloro-?-methyl-4-(4,4,5,5-tetramethyl-1,3,2-dioxaborolan-2-yl);l-(2-chloro-4-(4,4,5,5-tetramethyl-1,3,2-dioxaborolan-2-yl)phenyl)ethanol;
CAS號 1002309-97-8
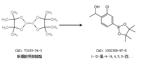
合成路線:
1.通過聯(lián)硼酸頻那醇酯合成1-(2-氯-4-(4,4,5,5-四甲基-1,3,2-二噁硼烷-2-基)苯基)乙醇

中華試劑網(wǎng)提醒 合成路線僅供參考