基本信息:
中文名稱 8-氨基辛酸
中文別名 OMEGA-氨基辛酸;氨基辛酸;
英文名稱 8-Aminooctanoic acid
英文別名 amino caprylic acid;8AC;8-Aminocaprylic acid;8-amino-n-caprylic acid;omega-Aminocaprylic acid;Octanoic acid,8-amino;8-amino octanoic acid;8-amino capylic acid;
CAS號 1002-57-9
合成路線:
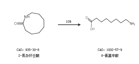
1.通過2-氮雜環(huán)壬酮合成8-氨基辛酸,收率約10%;

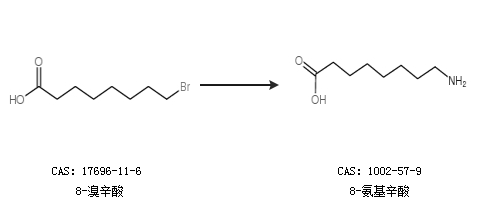
2.通過8-溴辛酸合成8-氨基辛酸

中華試劑網(wǎng)提醒 合成路線僅供參考