基本信息:
中文名稱 1-(2,4-二氟苯基)-6-氟-7-(3-甲基哌嗪-1-基)-4-氧代-1,4-二氫-1,8-萘啶-3-羧酸乙酯
英文名稱 ethyl 1-(2,4-difluorophenyl)-6-fluoro-7-(3-methylpiperazin-1-yl)-4-oxo-1,8-naphthyridine-3-carboxylate
英文別名 ethyl 1-(2,4-difluorophenyl)-6-fluoro-7-(3-methylpiperazin-1-yl)-4-oxo-1,4-dihydro-1,8-naphthyridine-3-carboxylate;
CAS號(hào) 100491-63-2
合成路線:
1.通過(guò)2-甲基哌嗪和甲酸乙酯1-(2,4-二氟苯基)-7-氯-6-氟-4-氧代羥基吡啶[2,3-B]吡啶-3-羧酸合成1-(2,4-二氟苯基)-6-氟-7-(3-甲基哌嗪-1-基)-4-氧代-1,4-二氫-1,8-萘啶-3-羧酸乙酯,收率約87%;

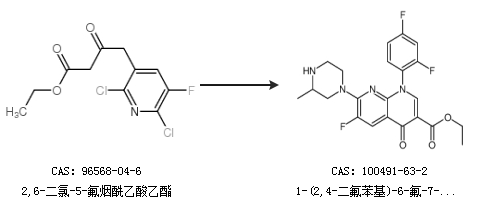
2.通過(guò)2,6-二氯-5-氟煙酰乙酸乙酯合成1-(2,4-二氟苯基)-6-氟-7-(3-甲基哌嗪-1-基)-4-氧代-1,4-二氫-1,8-萘啶-3-羧酸乙酯

中華試劑網(wǎng)提醒 合成路線僅供參考