基本信息:
中文名稱 (2R,3S)-N-芐氧羰基-2,3-二苯基嗎啉-6-酮
中文別名 (2R,3S)-2,3-二苯基-6-氧代嗎啉-4-甲酸芐酯;(2R,3S)-(-)-6-酮-2,3-二苯基-4-嗎啡啉甲酸芐酯;2R,3S-N-CBZ-2,3-二苯基嗎啉-6-酮;芐基 (2R,3S)-(-)-6-氧-2,3-二苯基-4-嗎啉E甲酸;
英文名稱 Benzyl (2R,3S)-(-)-6-oxo-2,3-diphenyl-4-morpholinecarboxylate
英文別名 (2R,3S)-(?)-N-Z-6-oxo-2,3-diphenylmorpholine;(2R,3S)-Benzyl 6-oxo-2,3-diphenylmorpholine-4-carboxylate;Benzyl (2R,3S)-(?)-6-oxo-2,3-diphenyl-4-morpholinecarboxylate;benzyl (2R,3S)-6-oxo-2,3-diphenylmorpholine-4-carboxylate;
CAS號(hào) 100516-54-9
合成路線:
1.通過(guò)(1R,2S)-(-)-2-氨基-1,2-二苯基乙醇合成(2R,3S)-N-芐氧羰基-2,3-二苯基嗎啉-6-酮

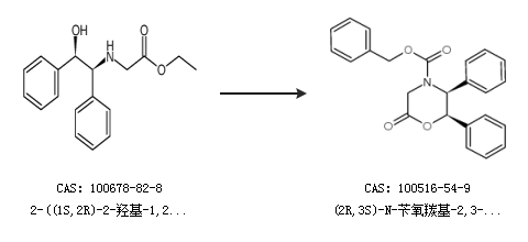
2.通過(guò)2-((1S,2R)-2-羥基-1,2-二苯基乙基氨基)乙酸乙酯合成(2R,3S)-N-芐氧羰基-2,3-二苯基嗎啉-6-酮

中華試劑網(wǎng)提醒 合成路線僅供參考