基本信息:
中文名稱 (2S)-(+)-1-苯甲?;?2-叔丁基-3-甲基-4-咪唑啉酮
英文名稱 (2S)-1-benzoyl-2-tert-butyl-3-methylimidazolidin-4-one
英文別名 4-Imidazolidinone,1-benzoyl-2-(1,1-dimethylethyl)-3-methyl-,(2S);(2S)-(+)-1-benzoyl-2-tert-butyl-3-methyl-4-imidazolidinone;(S)-1-Benzoyl-2-(tert-butyl)-3-methylimidazolidin-4-one;(+)-(S)-1-Benzoyl-2-(tert-butyl)-3-methylimidazolidin-4-on;(S)-1-benzoyl-2-(tert-butyl)-3-methyl-4-imidazolidinone;(S)-1-benzoyloxy-2-(tert-butyl)-3-methylimidazolidin-4-one;(2S)-1-benzoyl-2-(1,1-dimethylethyl)-3-methyl-4-imidazolidinone;(S)-1-benzoyl-2-tert-butyl-3-methyl-1,3-imidazolidin-4-one;
CAS號 101055-56-5
合成路線:
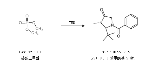
1.通過硫酸二甲酯合成(2S)-(+)-1-苯甲酰基-2-叔丁基-3-甲基-4-咪唑啉酮,收率約75%;

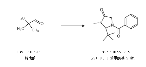
2.通過特戊醛合成(2S)-(+)-1-苯甲?;?2-叔丁基-3-甲基-4-咪唑啉酮

中華試劑網提醒 合成路線僅供參考