基本信息:
中文名稱 4-(6-溴-1H-吡咯并[2,3-B]吡啶-3-基)-2-嘧啶胺
英文名稱 4-(6-Bromo-1H-pyrrolo[2,3-b]pyridin-3-yl)-2-pyrimidinamine
英文別名 Meriolin 11;12-hydroxy-8h-benzo[b]pyrido[4,3,2-de][1,7]phenanthrolin-8-one;8H-Benzo(b)pyrido(4,3,2-de)(1,7)phenanthrolin-8-one,12-hydroxy;8H-Benzo[b]pyrido[4,3,2-de][1,7]phenanthroline-8,12(13H)-dione(9CI);meridin-12(13)H-one;
CAS號 1012042-10-2
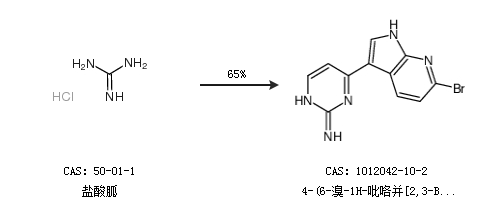
合成路線:
1.通過鹽酸胍合成4-(6-溴-1H-吡咯并[2,3-B]吡啶-3-基)-2-嘧啶胺,收率約65%;

中華試劑網(wǎng)提醒 合成路線僅供參考