基本信息:
中文名稱 2-甲基四氫吡喃
英文名稱 2-METHYLTETRAHYDROPYRAN
英文別名 Tetrahydro-2-methylpyran;2-Methyltetrahydropyrane;2-Methyloxane;Methyltetrahydropyran;2-METHYLOXACYCLOHEXANE;tetrahydro-2-methyl-2H-pyran;methylterahydropyran;2-methyl-tetrahydro-pyran;2-Methyltetrahydro-2H-pyran;
CAS號(hào) 10141-72-7
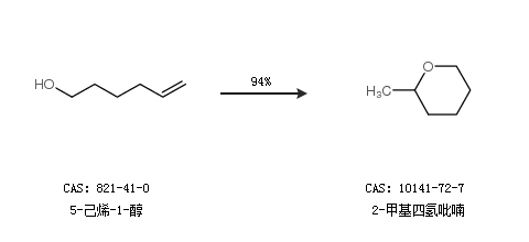
合成路線:
1.通過5-己烯-1-醇合成2-甲基四氫吡喃,收率約94%;

2.通過6-氯-2-已酮合成2-甲基四氫吡喃,收率約90%;

中華試劑網(wǎng)提醒 合成路線僅供參考