基本信息:
中文名稱 6-氟-1-(4-氟苯基)-4-氧代-7-(哌嗪-1-基)-1,4-二氫-1,8-萘啶-3-羧酸乙酯
英文名稱 ethyl 6-fluoro-1-(4-fluorophenyl)-4-oxo-7-piperazin-1-yl-1,8-naphthyridine-3-carboxylate
CAS號 104069-95-6
合成路線:
1.通過哌嗪和7-氯-6-氟-1-(4-氟苯基)-4-氧代-1,4-二氫-1,8-萘啶-3-羧酸乙酯合成6-氟-1-(4-氟苯基)-4-氧代-7-(哌嗪-1-基)-1,4-二氫-1,8-萘啶-3-羧酸乙酯,收率約63%;

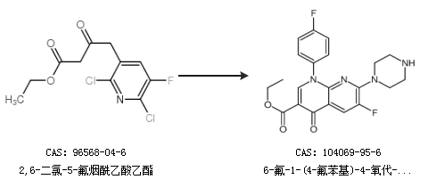
2.通過2,6-二氯-5-氟煙酰乙酸乙酯合成6-氟-1-(4-氟苯基)-4-氧代-7-(哌嗪-1-基)-1,4-二氫-1,8-萘啶-3-羧酸乙酯

中華試劑網(wǎng)提醒 合成路線僅供參考