基本信息:
中文名稱 2,4-二(三甲硅氧基)嘧啶
中文別名 O,O-雙(三甲基硅基)尿嘧啶;2,4-雙三甲基硅烷氧基嘧啶;
英文名稱 2,4-Bis((trimethylsilyl)oxy)pyrimidine
英文別名 trimethyl-(2-trimethylsilyloxypyrimidin-4-yl)oxysilane;
CAS號 10457-14-4
合成路線:
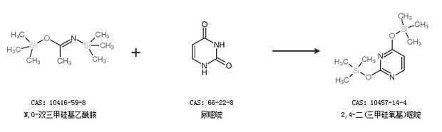
1.通過N,O-雙三甲硅基乙酰胺和尿嘧啶合成2,4-二(三甲硅氧基)嘧啶

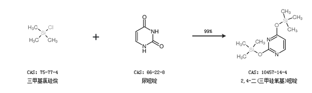
2.通過三甲基氯硅烷和尿嘧啶合成2,4-二(三甲硅氧基)嘧啶,收率約99%;

中華試劑網(wǎng)提醒 合成路線僅供參考