基本信息:
中文名稱 1-N-叔丁氧羰基哌啶-4-硼酸頻哪醇酯
中文別名 4-(4,4,5,5-四甲基-1,3,2-二噁硼烷-2-基)哌啶-1-羧酸叔丁酯;
英文名稱 tert-Butyl 4-(4,4,5,5-tetramethyl-1,3,2-dioxaborolan-2-yl)piperidine-1-carboxylate
英文別名 tert-butyl 4-(4,4,5,5-tetramethyl-1,3,2-dioxaborolan-2-yl)piperidine-1-carboxylate;
CAS號 1048970-17-7
合成路線:
1.通過1,2,3,6-四氫吡啶-4-硼酸頻那醇酯合成1-N-叔丁氧羰基哌啶-4-硼酸頻哪醇酯,收率約99%;

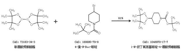
2.通過聯(lián)硼酸頻那醇酯和4-溴-N-Boc-哌啶合成1-N-叔丁氧羰基哌啶-4-硼酸頻哪醇酯,收率約61%;

中華試劑網(wǎng)提醒 合成路線僅供參考