基本信息:
中文名稱 5-乙基-2-甲基-吡啶
中文別名 2-甲基-5-乙基吡啶;
英文名稱 5-Ethyl-2-methylpyridine
英文別名 Ethyl-5 methyl-2 pyridine;Aldehydecollidine;5-Ethyl-2-Methylpyridine;2-METHYL-5-ETHYLPYRIDINE;5-ethyl-2-methyl-pyridine;3-Ethyl-6-methylpyridine;2-Picoline,5-ethyl;5-Ethyl-2-picoline;Aldehydine;Pyridine,5-ethyl-2-methyl;Aldehydkollidin;
CAS號(hào) 104-90-5
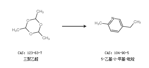
合成路線:
1.通過(guò)乙炔合成5-乙基-2-甲基-吡啶

2.通過(guò)三聚乙醛合成5-乙基-2-甲基-吡啶

中華試劑網(wǎng)提醒 合成路線僅供參考