基本信息:
中文名稱 (2S,3R)-N-芐氧羰基-2,3-二苯基嗎啉-6-酮
中文別名 芐基 (2S,3R)-(+)-6-氧代-2,3-二苯基-4-嗎啉甲酸酯;(2S,3R)-(+)-N-芐氧羰基-6-羰基-2,3-二苯基嗎啉;2S,3R-N-CBZ-2,3-二苯基嗎啉-6-酮;(2S,3R)-2,3-二苯基-6-氧代嗎啉-4-甲酸芐酯;
英文名稱 (2S,3R)-Benzyl 6-oxo-2,3-diphenylmorpholine-4-carboxylate
英文別名 benzyl (2S,3R)-6-oxo-2,3-diphenylmorpholine-4-carboxylate;(2S,3R)-(+)-N-Z-6-oxo-2,3-diphenylmorpholine;Benzyl (2S,3R)-(+)-6-oxo-2,3-diphenyl-4-morpholinecarboxylate;
CAS號 105228-46-4
合成路線:
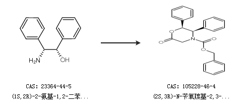
1.通過(1S,2R)-2-氨基-1,2-二苯基乙醇合成(2S,3R)-N-芐氧羰基-2,3-二苯基嗎啉-6-酮

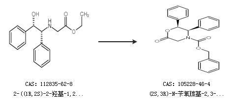
2.通過2-((1R,2S)-2-羥基-1,2-二苯基乙基氨基)乙酸乙酯合成(2S,3R)-N-芐氧羰基-2,3-二苯基嗎啉-6-酮

中華試劑網(wǎng)提醒 合成路線僅供參考