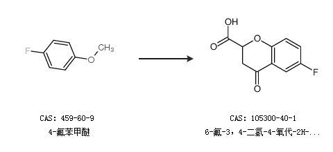
基本信息:
中文名稱 6-氟-3,4-二氫-4-氧代-2H-1-苯并吡喃-2-甲酸
英文名稱 6-fluoro-4-oxo-2,3-dihydrochromene-2-carboxylic acid
英文別名 PC6501;dl-6-fluoro-3,4-dihydro-4-oxo-2H-1-benzopyran-2-carboxylic acid;6-Fluorochroman-4-one-2-carboxylic acid;6-Fluoro-4-oxochroman-2-carboxylic acid;rac-6-Fluoro-3,4-dihydro-4-oxo-2H-1-benzopyran-2-carboxylic Acid;
CAS號(hào) 105300-40-1
合成路線:
1.通過(guò)4-氟苯甲醚合成6-氟-3,4-二氫-4-氧代-2H-1-苯并吡喃-2-甲酸

中華試劑網(wǎng)提醒 合成路線僅供參考