基本信息:
中文名稱 N-[2-[2-(二甲基氨基)乙氧基]-4-(1H-吡唑-4-基)苯基]-2,3-二氫-1,4-苯并二惡烷-2-甲酰胺
英文名稱 N-[2-[2-(dimethylamino)ethoxy]-4-(1H-pyrazol-4-yl)phenyl]-2,3-dihydro-1,4-benzodioxine-3-carboxamide
英文別名 RS0088;SR3677;HMS3244D09;HMS3244C10;HMS3244C09;
CAS號 1072959-67-1
合成路線:
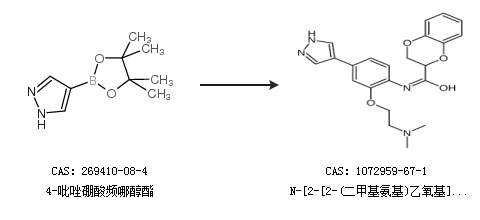
1.通過4-吡唑硼酸頻哪醇酯合成N-[2-[2-(二甲基氨基)乙氧基]-4-(1H-吡唑-4-基)苯基]-2,3-二氫-1,4-苯并二惡烷-2-甲酰胺

中華試劑網(wǎng)提醒 合成路線僅供參考