基本信息:
中文名稱 2-氨基-5-氯吡啶
中文別名 2-氨基-5-氯-吡啶;3-氨基-6-氯吡啶;5-氯-2-吡啶胺;2-氨基-5-氯砒啶;
英文名稱 2-Amino-5-chloropyridine
英文別名 2-AMINO-5-CHLIROPYRIDINE;2-Amino-5-Chloro Pyriine;5-CHLORO-A-PYRIDYLAMINE;6-chloropyridin-2-ylamine;2-Amino-5-Chloropyridine;5-CHLORO-2-PYRIDYLAMINE;2-amino-5-chloro-pyridine;5-CHLORO-2-AMINOPYRIDINE;5-CHLOROPYRIDIN-2-AMINE;5-chloropyridin-2-ylamine;5-CHLORO-2-PYRIDINAMINE;
CAS號 1072-98-6
合成路線:
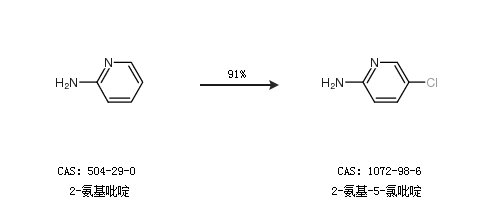
1.通過2-氨基吡啶合成2-氨基-5-氯吡啶,收率約91%;

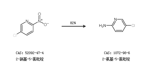
2.通過2-硝基-5-氯吡啶合成2-氨基-5-氯吡啶,收率約82%;

中華試劑網提醒 合成路線僅供參考