基本信息:
中文名稱 2,3-二氫-6-甲氧基-3-氨基苯并呋喃
英文名稱 6-methoxy-2,3-dihydro-1-benzofuran-3-amine
英文別名 3-BENZOFURANAMINE,2,3-DIHYDRO-6-METHOXY;6-METHOXY-2,3-DIHYDROBENZOFURAN-3-AMINE;2,3-DIHYDRO-6-METHOXY-3-BENZOFURANAMINE;
CAS號 109926-37-6
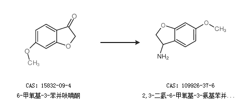
合成路線:
1.通過6-甲氧基-3-苯并呋喃酮合成2,3-二氫-6-甲氧基-3-氨基苯并呋喃

中華試劑網提醒 合成路線僅供參考