基本信息:
中文名稱 N,N-二乙基乙二胺
中文別名 NN''-二乙基乙二胺;N,N’-二乙基乙二胺;
英文名稱 N,N''-diethylethylenediamine
英文別名 1,2-Bis(ethylamino)ethane;N,N''-Ethylenediethyldiamine;N,N''-diethylethane-1,2-diamine;N,N''-DiethylethylenediaMine;N,N''-Diethylethylenediamine;
CAS號 111-74-0
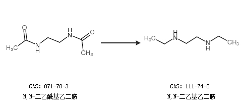
合成路線:
1.通過N,N-二乙?;叶泛铣蒒,N-二乙基乙二胺

2.通過乙胺和二溴乙烷合成N,N-二乙基乙二胺,收率約28%;

中華試劑網(wǎng)提醒 合成路線僅供參考