基本信息:
中文名稱 環(huán)己甲酰胺
中文別名 羥基環(huán)己烷;環(huán)己酰胺;
英文名稱 Cyclohexanecarboxamide
英文別名 Cyclohexylcarboxamide;Cyclohexamethylene carbamide;cyclohexyl amide;hexahydrobenzamide;EINECS 214-351-4;carboxamide cyclohexane;cyclohexanamide;Cyclohexylcarboxyamide;Hexahydrobenzoic acid amide;
CAS號 1122-56-1
合成路線:
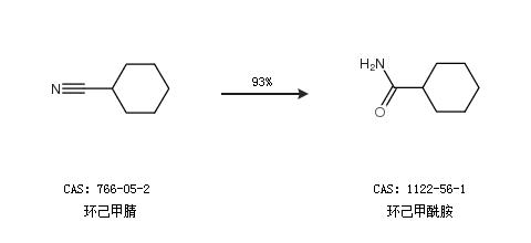
1.通過環(huán)己甲腈合成環(huán)己甲酰胺,收率約93%;

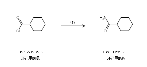
2.通過環(huán)己甲酰氯合成環(huán)己甲酰胺,收率約45%;

中華試劑網(wǎng)提醒 合成路線僅供參考