基本信息:
中文名稱 3,3-二溴-5-氯-1,3-二氫吲哚-2-酮
英文名稱 3,3-dibromo-5-chloro-1H-indol-2-one
英文別名 2H-Indol-2-one,3,3-dibromo-5-chloro-1,3-dihydro;3,3-DIBROMO-5-CHLORO-1,3-DIHYDROINDOL-2-ONE;3,3-Dibromo-5-chloroindol-2(3H)-one;
CAS號 113423-48-6
合成路線:
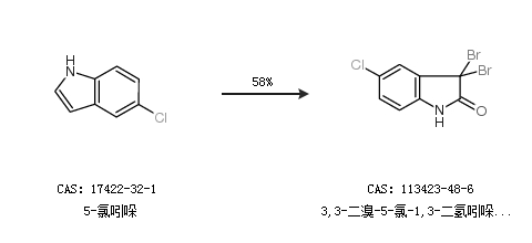
1.通過5-氯吲哚合成3,3-二溴-5-氯-1,3-二氫吲哚-2-酮

2.通過5-氯吲哚合成3,3-二溴-5-氯-1,3-二氫吲哚-2-酮,收率約58%;

中華試劑網(wǎng)提醒 合成路線僅供參考