基本信息:
中文名稱 5,7-二甲基-[1,2,4]噻唑并[1,5-a]嘧啶-2-羧酸乙酯
英文名稱 ETHYL 5,7-DIMETHYL-[1,2,4]TRIAZOLO[1,5-A]PYRIMIDINE-2-CARBOXYLATE
英文別名 [1,2,4]Triazolo[1,5-a]pyrimidine-2-carboxylicacid,5,7-dimethyl-,ethyl ester;5,7-dimethyl-((1,2,4))-triazolo(1,5-a)pyrimidine-2-carboxylic acid,ethyl ester;ethyl 5,7-dimethyl[1,2,4]triazolo[1,5-a]pyrimidine-2-carboxylate;
CAS號 114040-29-8
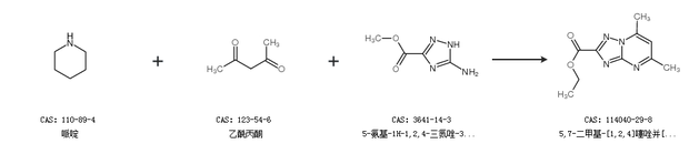
合成路線:
1.通過5-氨基-4H-[1,2,4]-三唑-3-羧酸甲酯和乙酰丙酮合成5,7-二甲基-[1,2,4]噻唑并[1,5-a]嘧啶-2-羧酸乙酯,收率約82%;

2.通過哌啶、乙酰丙酮和5-氨基-1H-1,2,4-三氮唑-3-羧酸甲酯硫酸鹽合成5,7-二甲基-[1,2,4]噻唑并[1,5-a]嘧啶-2-羧酸乙酯

中華試劑網(wǎng)提醒 合成路線僅供參考