基本信息:
中文名稱 氯沙坦甲醛
英文名稱 2-butyl-5-chloro-3-[[4-[2-(2H-tetrazol-5-yl)phenyl]phenyl]methyl]imidazole-4-carbaldehyde
英文別名 [3H]-EXP 3179;2-n-Butyl-4-chloro-1-[(2''-(1H-tetrazol-5-yl)biphenyl-4-yl)methyl]-imidazole-5-carboxaldehyde;2-butyl-4-chloro-1-<<2''-(1H-tetrazol-5-yl)biphenyl-4-yl>methyl>imidazole-5-carboxaldehyde;2-butyl-4-chloro-5-formyl-1-[2''-(1H-tetrazol-5-yl)biphenyl-4-yl]methylimidazole;2-Butyl-4-chloro-1-[[2 inverted exclamation mark-(1H-tetrazol-5-yl)[1,1 inverted exclamation mark-biphenyl]-4-yl]methyl]-1H-imidazole-5-carboxaldehyde;Losartan Carboxaldehyde;2-butyl-4-chloro-1-{[2''-(1H-tetrazol-5-yl)biphenyl-4-yl]methyl}-imidazole-5-carbaldehyde;EXP 3179;DUP 167;
CAS號 114798-36-6
合成路線:
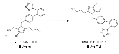
1.通過氯沙坦鉀合成氯沙坦甲醛

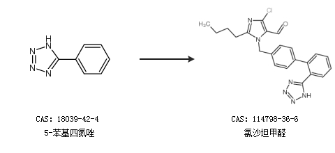
2.通過5-苯基四氮唑合成氯沙坦甲醛

中華試劑網(wǎng)提醒 合成路線僅供參考