基本信息:
中文名稱 4-氯代苯酐
中文別名 4-氯鄰苯二甲酸酐;4-氯苯酐;
英文名稱 4-Chlorophthalic Anhydride
英文別名 4-Chlorophthalic anhydride;5-chloro-2-benzofuran-1,3-dione;5-Chloroisobenzofuran-1,3-dione;
CAS號(hào) 118-45-6
合成路線:
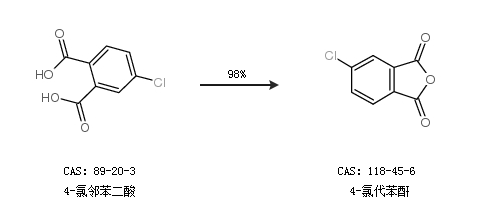
1.通過(guò)4-氯鄰苯二酸合成4-氯代苯酐,收率約98%;

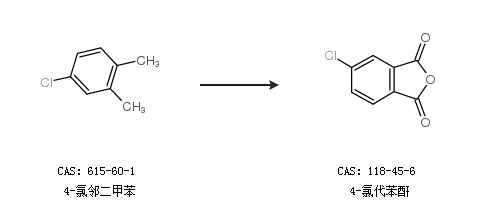
2.通過(guò)4-氯鄰二甲苯合成4-氯代苯酐

中華試劑網(wǎng)提醒 合成路線僅供參考