基本信息:
中文名稱 1,3,5-三(4-氨苯基)苯
中文別名 1,3,5-三(4-氨苯基)苯;
英文名稱 1,3,5-Tris(4-aminophenyl)benzene
英文別名 4-[3,5-bis(4-aminophenyl)phenyl]aniline;5''-(4-Aminophenyl)-[1,1'':3'',1''''-terphenyl]-4,4''''-diamine;1,3,5-Tris(4-aMinophenyl)benzene;
CAS號 118727-34-7
合成路線:
1.通過1,3,5-三溴苯和4-氨基苯硼酸合成1,3,5-三(4-氨苯基)苯,收率約62%;

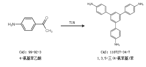
2.通過4-氨基苯乙酮合成1,3,5-三(4-氨苯基)苯,收率約71%;

中華試劑網(wǎng)提醒 合成路線僅供參考