基本信息:
中文名稱 6-(4,4,5,5-四甲基-1,3,2-二氧雜環(huán)己硼烷-2-基)-3-氨基-1H-吲唑
英文名稱 6-(4,4,5,5-tetramethyl-1,3,2-dioxaborolan-2-yl)-1H-indazol-3-amine
CAS號 1187968-75-7
合成路線:
1.通過3-氨基-6-溴-1H-吲唑和聯(lián)硼酸頻那醇酯合成6-(4,4,5,5-四甲基-1,3,2-二氧雜環(huán)己硼烷-2-基)-3-氨基-1H-吲唑

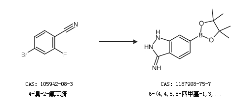
2.通過4-溴-2-氟苯腈合成6-(4,4,5,5-四甲基-1,3,2-二氧雜環(huán)己硼烷-2-基)-3-氨基-1H-吲唑

中華試劑網(wǎng)提醒 合成路線僅供參考